• Предмет: Алгебра
  • Автор: ndjfjbc
  • Вопрос задан 2 года назад

помогите решить пожалуйста
с объяснением расписать

Приложения:

Аноним: Пиши в інст coralli_ua дам відповідь

Ответы

Ответ дал: NNNLLL54
2

Ответ:

Применяем формулы двойных углов и формулу тангенса разности

\bf cos2x=2cos^2x-1=1-2sin^2x\ \ ,\ \ sin2x=2sinx\cdot cosx\ \ ,\\\\\\tg(x-y)=\dfrac{tgx-tgy}{1+tgx\cdot tgy}

А также потребуются формулы приведения в 3 примере .

\displaystyle 1)\ \ \frac{cos4a-1}{ctga-tga}=\frac{2cos^22a}{\dfrac{cosa}{sina}-\dfrac{sina}{cosa}}=\frac{2cos^22a}{\dfrac{cos^2a-sin^2a}{sina\cdot cosa}}=\frac{2cos^22a}{\dfrac{cos2a}{0,5\, sin2a}}=\\\\\\=\frac{2cos^22a\cdot 0,5\, sin2a}{cos2a}=\frac{2cos2a\cdot sin2a}{2}=sin2a\cdot cos2a=\frac{1}{2}\cdot sin4a\\\\\\\frac{1}{2}\cdot sin4a=\frac{1}{2}\cdot sin4a

\displaystyle 2)\ \ \frac{2cos2a-sin4a}{2cos2a+sin4a}=\frac{2\, cos2a-2sin2a\cdot cos2a}{2\, cos2a+2sin2x\cdot cos2a}=\frac{2\, cos2a\cdot (1-sin2a)}{2\, cos2a\cdot (1+sin2a)}=\\\\\\=\frac{1-sin2a}{1+sin2a}=\frac{sin^2a+cos^2a-2sina\cdot cosa}{sin^2a+cso^2a+2sina\cdot cosa}=\frac{(sina-cosa)^2}{(sina+cosa)^2}=\\\\\\=\Big(\frac{sina-cosa}{sina+cosa}\Big)^2=\left(\frac{\dfrac{sina}{cosa}-\dfrac{cosa}{cosa}}{\dfrac{sina}{cosa}+\dfrac{cosa}{cosa}}\right)^2=\Big(\frac{tga-1}{tga+1}\Big)^2=

\displaystyle =\Big(\frac{1-tga}{1+1\cdot tga}\Big)^2=\left(\frac{tg\dfrac{\pi}{4}-tga}{tg\dfrac{\pi}{4}+tg\dfrac{\pi}{4}\cdot tga }\right)^2=\Big(tg\Big(\dfrac{\pi }{4}-a\Big)\Big)^2=tg^2\Big(\dfrac{\pi }{4}-a\Big)=\\\\\\=tg^2(45^\circ -a)\\\\\\tg^2\Big(45^\circ -a\Big)=tg^2(45^\circ -a)

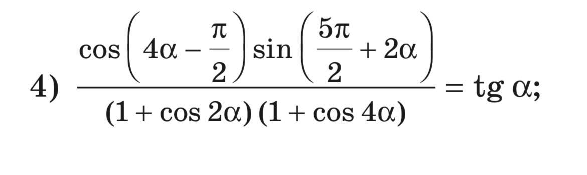
\displaystyle 3)\ \ \frac{cos\Big(4a-\dfrac{\pi }{2}\Big)\cdot sin\Big(\dfrac{5\pi }{2}+2a\Big)}{(1-cos2a)(1+cos4a)}=\frac{cos\Big(\dfrac{\pi }{2}-4a\Big)\cdot sin\Big(2\pi +\dfrac{\pi }{2}+2a\Big)}{2sin^2a\cdot 2cos^22a}=\\\\\\=\frac{sin4a\cdot cos2a}{2sin^2a\cdot 2cos^22a}=\frac{2sin2a\cdot cos2a\ \cdot \ cos2a}{2sin^2a\ \cdot \ 2cos^22a}=\frac{sin2a}{2sin^2a}=\\\\\\=\frac{2sina\cdot cosa}{2sin^2a}=\frac{cosa}{sina}=ctga\\\\\\ctga\ne tga    


spamgg002: помогите у профиле пожалуйста
Аноним: помогите пожалуйста решить задачу
Вас заинтересует