• Предмет: Алгебра
  • Автор: vesovnaves
  • Вопрос задан 2 года назад

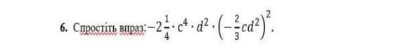
Спростіть вираз:-2 1/4 ×с⁴×d²×(-2/3cd²)²​

Приложения:

Ответы

Ответ дал: manyny06
2

Ответ:

решение смотри на фотографии

Приложения:
Вас заинтересует