Ответы
Ответ дал:
0
Ответ:
802:7=114 (остаток 4)
Подели столбиком получится
anzhelikaalieva2008:
аааа, это так делается что-ли пхпхаэах
Ответ дал:
0
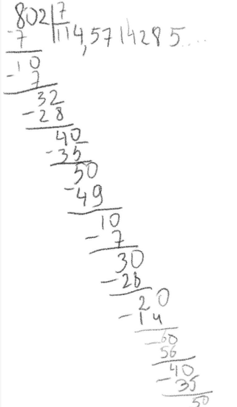
Ответ:
114,57142857...
Пошаговое объяснение:
можно было на калькуляторе, хотя Вам, наверное надо округлить, поэтому можно 114,6 или 114,57
воть :)
Приложения:

Вас заинтересует
1 год назад
1 год назад
1 год назад
3 года назад
3 года назад
8 лет назад
8 лет назад