• Предмет: Физика
  • Автор: kvarckvarcovic
  • Вопрос задан 2 года назад

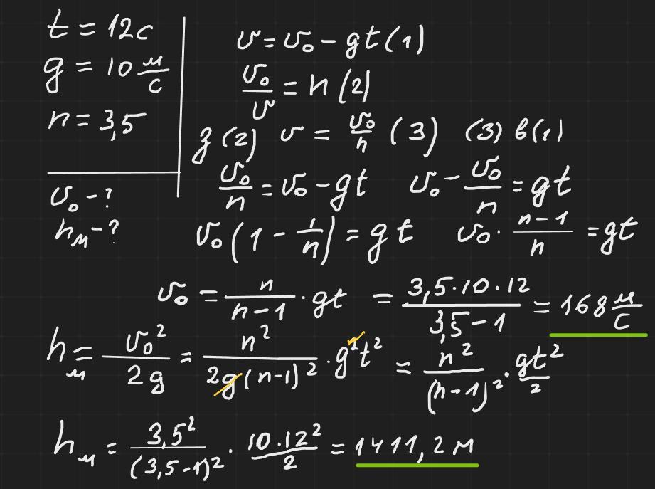
Швидкість каменя, що підкинули вертикально угору, через

проміжок часу t = 12 с зменшилася в n = 3,5 рази. Визначити початкову швидкість v_{0} каменя і висоту h його підйому.

Відповідь:

v_{0} = \frac{n}{n-1}*gt = 30,2 м/с

h = \frac{n^{2} }{(n-1)^{2} } * \frac{gt^{2} }{2} = 46,5 м

Як обчислити v_{0} та h

Ответы

Ответ дал: zybkov1950
4

Відповідь: Див. додаток

Пояснення:

Приложения:

kvarckvarcovic: Відповідь не сходиться
zybkov1950: Якщо початкова швидкість 30,2 м/с, то час підйому 3,02с. А у вашій умові тіло летить 12с і ще має швидкість. Так що можливо в умові мають бути не такі числові значення!
kvarckvarcovic: Понял спасибі
Вас заинтересует