• Предмет: Физика
  • Автор: n2872517
  • Вопрос задан 2 года назад

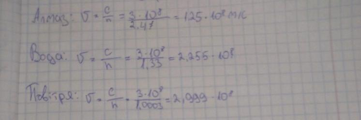
Обчисліть швидкість поширення світла в алмазі; воді; повітрі.​

Ответы

Ответ дал: ashapdpsm
3
Вот надеюсь решил верно! Удачи!!!!!
Приложения:

n2872517: оо спасибо!
Вас заинтересует