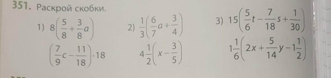
помогите с 3 столбиком (решения)ответы должны быть 1) 12 1/2-5 5/6+ 1/2
2) 2 1/3+5/12-1 3/4
Приложения:

Ответы
Ответ дал:
5
Ответ:
1) 12+2/1-5=9 6/5+2/1=3(ост1)
2) 2+3/1+12/5-1+4/3=7(ост3)
Пошаговое объяснение:
12+2:1-5=9 6:5+2:1=3(ост1)
2+3:1+12:5-1+4:3=7(ост3)
Вас заинтересует
1 год назад
1 год назад
1 год назад
3 года назад
3 года назад
8 лет назад
8 лет назад