• Предмет: Физика
  • Автор: Аноним
  • Вопрос задан 2 года назад

Срочно срочно срочно!!!!!

Приложения:

zybkov1950: За три задачі 15 балів? Я не розглядаю ті питання, де мені на одну задачу дають менше 25 балів
Аноним: 2 задачі нада зробить, 3 ненада
zybkov1950: За дві задачі 15 балів? Я не розглядаю ті питання, де мені на одну задачу дають менше 25 балів. І де в заголовку сказано, що "3 ненада
"
Аноним: Я викинула завдання 100 балів задача і питання
Аноним: Подивись

Ответы

Ответ дал: zybkov1950
0

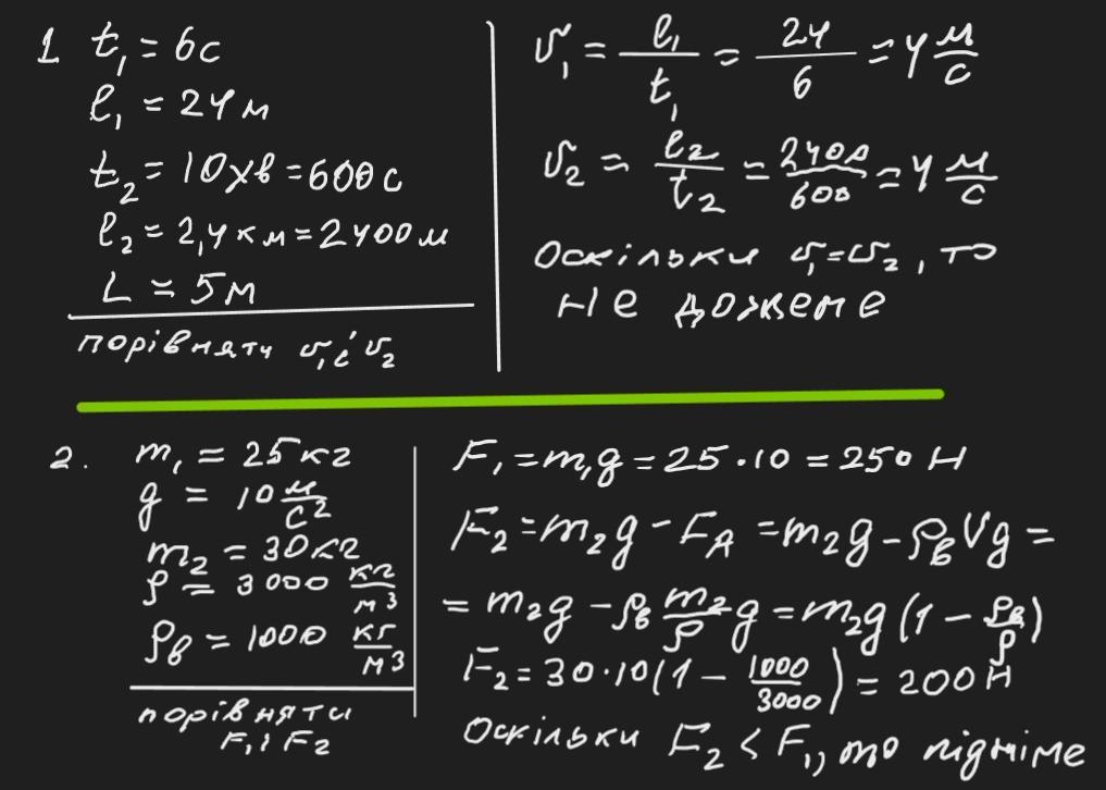
Відповідь: Див. додаток

Пояснення:

Приложения:
Вас заинтересует