Спростіть вираз та запишіть його значення:
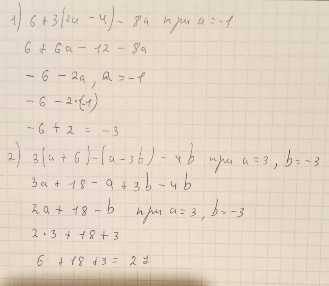
1) 6 + 3(2а – 4) – 8а при а = -1;
2) 3(а + 6) – (а – 3b) – 4b при а = 3; b = -3.
СРОЧНО!!!!!!!!!!!!!!!!!
Ответы
Ответ дал:
1
спрощення виразів
1) -3
2) 27
Приложения:

Вас заинтересует
1 год назад
1 год назад
1 год назад
3 года назад
3 года назад
8 лет назад