Ответы
Ответ дал:
0
Если понравилось решение - нажимай "спасибо" и "лучший" (рядом с кнопкой "спасибо") :)
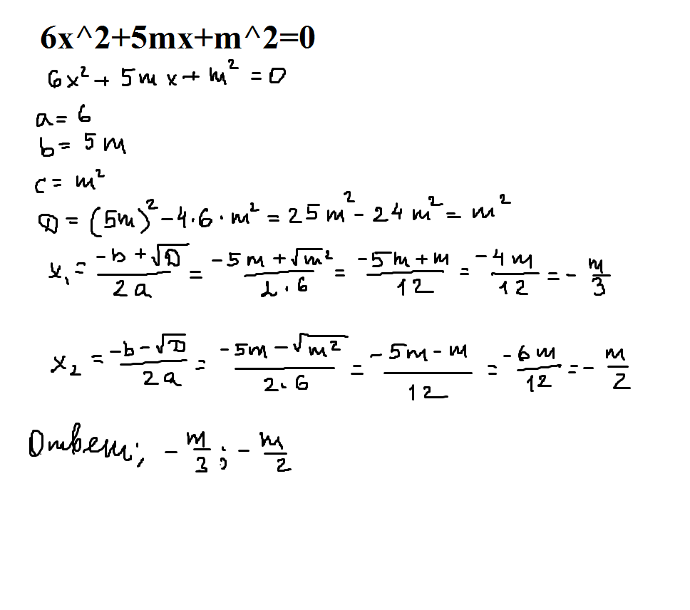
Приложения:

Ответ дал:
0
Ок.
Ответ дал:
0
Конечно....
Ответ дал:
0
Спасибо за решение.. У моей подруги точно токойж
Ответ дал:
0
Спасибо за решение... У моей подруги точно такой же получился ответ. Извини , что не написала ответ. В тот день у нас вместо проверки домашнего задания была контрольная. Так что это задание осталось не проведенным.
Ответ дал:
0
Так что это задание осталось не проверенным.
Вас заинтересует
2 года назад
2 года назад
8 лет назад
8 лет назад
10 лет назад