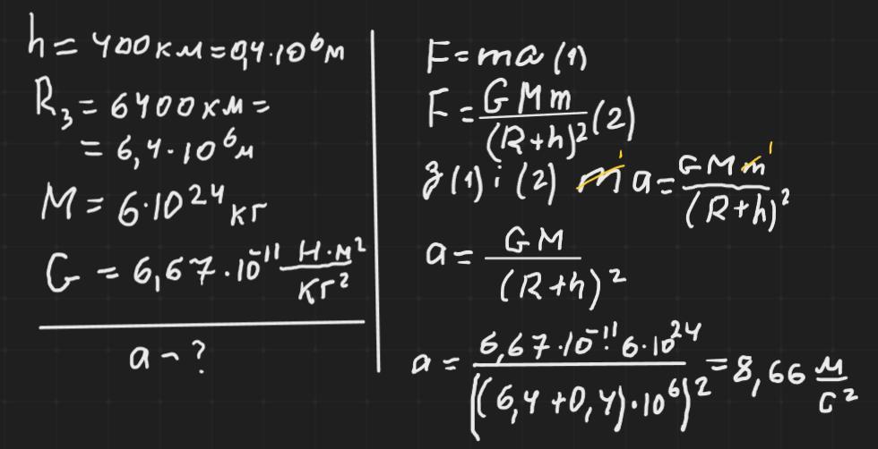
З яким прискоренням рухається штучний спутник по коловій орбіті над Землею на висоті 400 км?(Маса Землі 6×10^24 кг,радіус Землі-6400 км.) ОЧЕНЬ СРОЧНО!!!!!!!
Ответы
Ответ дал:
1
Відповідь: ≈ 8,66 м/с²
Пояснення:
Приложения:

turchankarimova20:
спасибо!!!!
Вас заинтересует
1 год назад
1 год назад
1 год назад
3 года назад
8 лет назад
8 лет назад