Помогите срочно пожалуюсто дам 30 баллов
Приложения:

olgaua64:
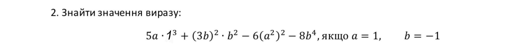
Скоріш за все в першому доданку не 1³ , а а³ повинно бути
Ответы
Ответ дал:
1
Ответ:
насколько знаю это решается так
Приложения:

Вас заинтересует
1 год назад
1 год назад
1 год назад
3 года назад
3 года назад
8 лет назад