Ответы
Ответ дал:
0
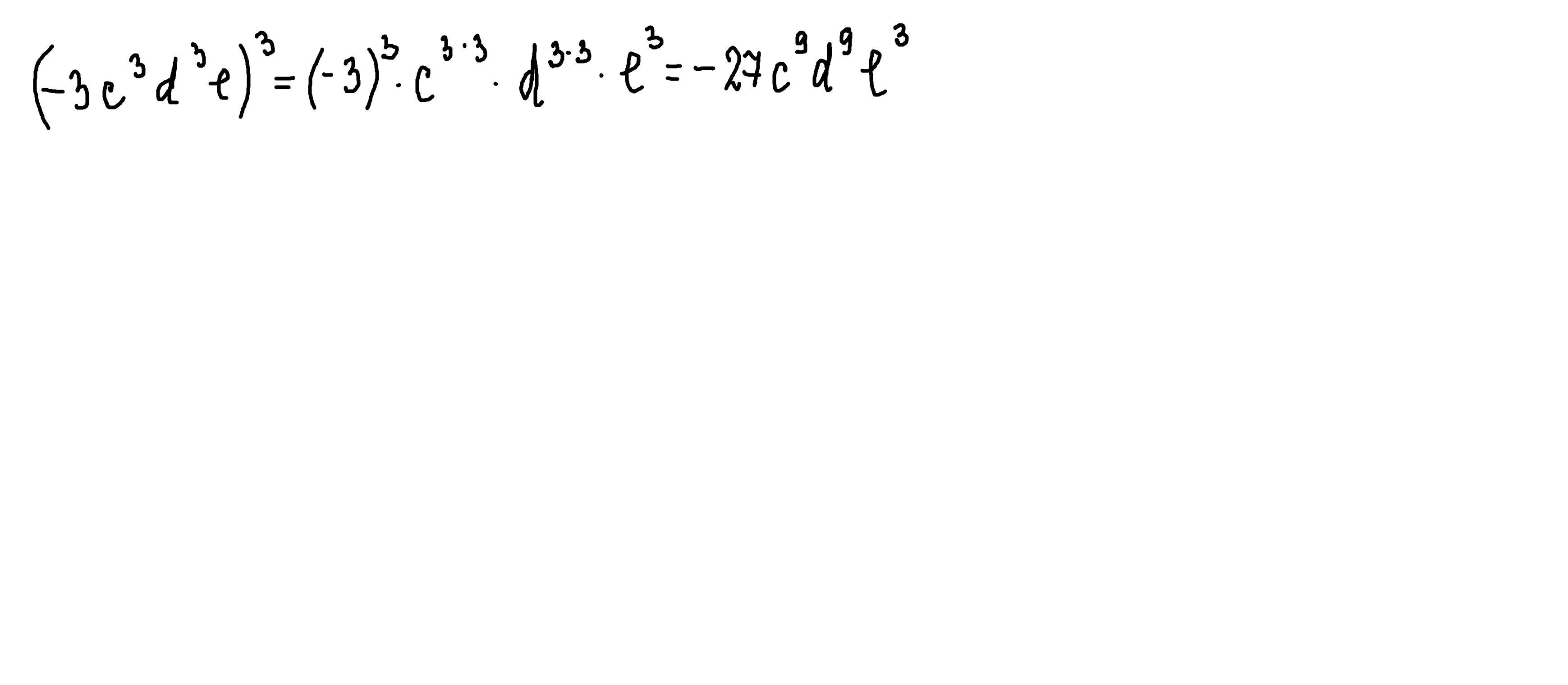
(-3с³d³e)³ = -27c⁹d⁹e³.
Ответ дал:
0
Ответ:
решение внизу
Объяснение:
Приложения:

Вас заинтересует
1 год назад
1 год назад
1 год назад
1 год назад
3 года назад
3 года назад
8 лет назад