1. В сосуде находилась некоторая масса идеального газа. Давление газа
увеличили в 2 раза, а абсолютную температуру уменьшили в 2 раза. Выберите
правильное утверждение.А. Объем газа уменьшился в 2 раза. Б. Объем газа увеличился в 2 раза.
В. Объем газа уменьшился в 4 раза.
Ответы
Ответ дал:
0
В, там по фрмулые pV=NRT поставляешь и получается
Ответ дал:
0
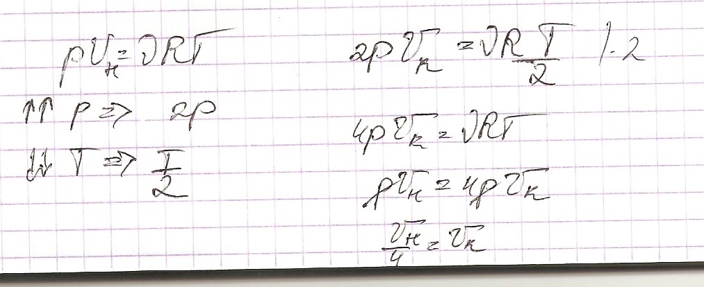
Берем уравнение Менделеева-Клапейрона
pV=vRT
подставляем
уменьшится в 4 раза
pV=vRT
подставляем
уменьшится в 4 раза
Приложения:
Вас заинтересует
3 года назад
3 года назад
8 лет назад
8 лет назад
11 лет назад
11 лет назад
11 лет назад