• Предмет: Физика
  • Автор: citrusc31
  • Вопрос задан 2 года назад

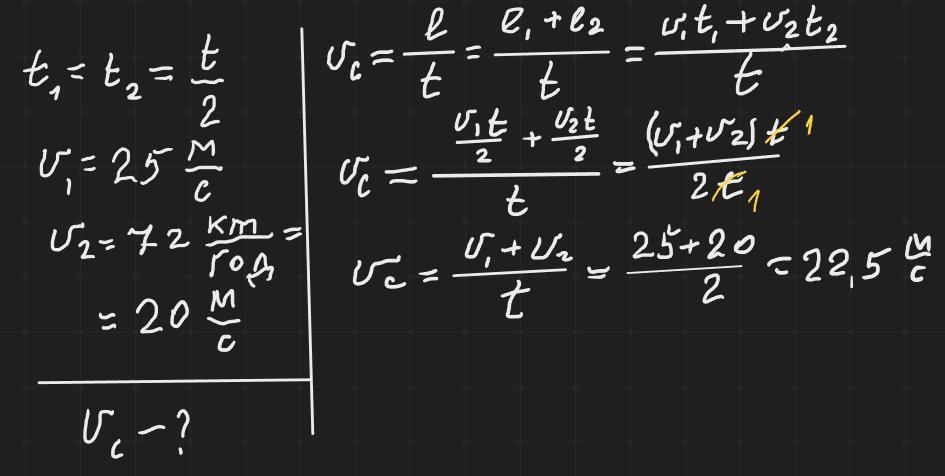
Знайти середню швидкість тіла, якщо відомо, що першу половину часу воно рухалося зі швидкістю 25 м/с, а другу половину часу зі швидкістю 72 км/год.

Помогите пожалуйста!! Буду благодарна. ​

Ответы

Ответ дал: seleznyov2352
1

(25+72)/2=48,5

Середня швидкість тіла була 48,5 км/год

Ответ дал: zybkov1950
0

Відповідь: 22,5 м/с

Пояснення:

Приложения:
Вас заинтересует