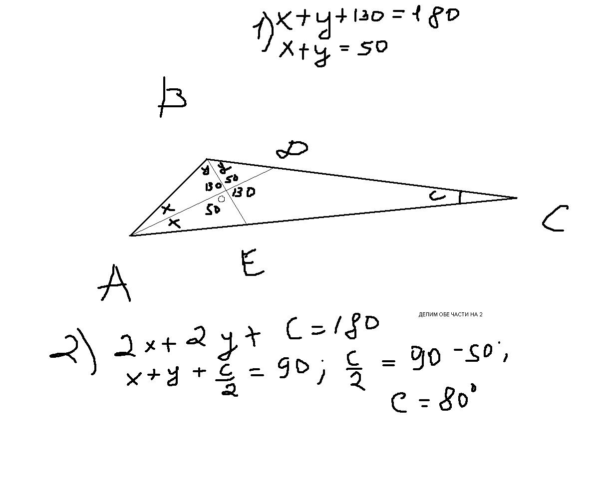
биссектрисы АD и ВЕ треугольника АВС пересекаются в точке О найдите угол с треугольника если угол АОЕ 50 градусов
Ответы
Ответ дал:
0
все внизууууууууууууууууууууууууууууууууу!!!!.................................................
Приложения:

Вас заинтересует
2 года назад
2 года назад
8 лет назад
8 лет назад
10 лет назад
10 лет назад