• Предмет: Алгебра
  • Автор: Inga97
  • Вопрос задан 10 лет назад

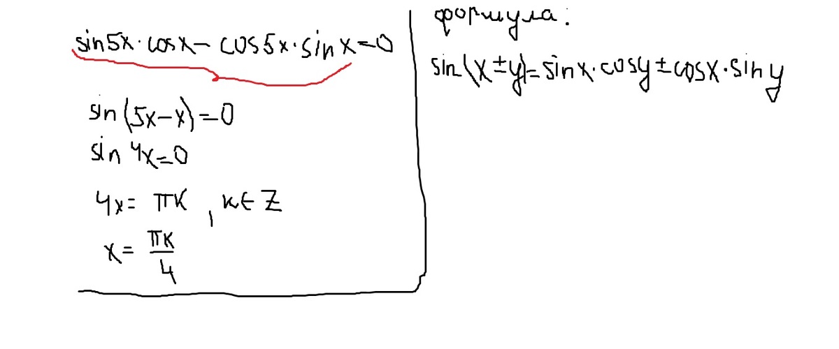
sin5xcosx-cos5xsinx=0
Решите уравнение.
Дайте полный ответ 

Ответы

Ответ дал: mmb1
0
sin5xcosx-cos5xsinx=0
sin(5x-x)=0
4x=πN
x=πN/4
Ответ дал: Inga97
0
что нужно сначала сделать?
Ответ дал: remix5z
0
все решение на картинке
Приложения:
Вас заинтересует