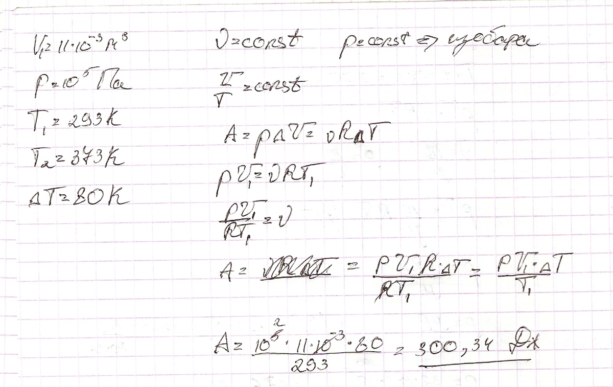
Газ, занимавший объем V1 = 11 л при
давлении 105 Па, был нзобарно нагрет от 20 до 100°С.Определите
работу расширения газа.
помогите решить пожалуйста СРОЧНО НУЖНО!!!
Ответы
Ответ дал:
0
A=pΔV=vRΔT
находим v через Менделеева-Клапейрона и все
ответ 300.34 Дж
находим v через Менделеева-Клапейрона и все
ответ 300.34 Дж
Приложения:
Вас заинтересует
3 года назад
3 года назад
8 лет назад
8 лет назад
11 лет назад
11 лет назад
11 лет назад