• Предмет: Физика
  • Автор: danilzarv
  • Вопрос задан 2 года назад

Помогите пожалуйста СРОЧНО!!!!​

Приложения:

Ответы

Ответ дал: zybkov1950
0

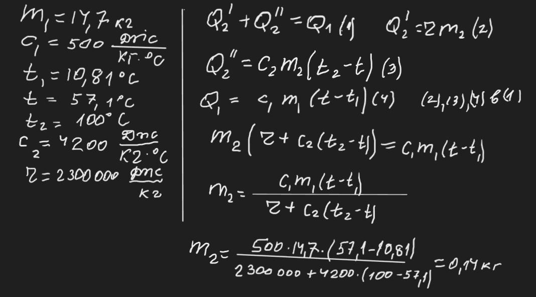
Відповідь:   0,14 кг

Пояснення:

Приложения:
Вас заинтересует