• Предмет: Физика
  • Автор: oleksiy62
  • Вопрос задан 2 года назад

Допоможіть:
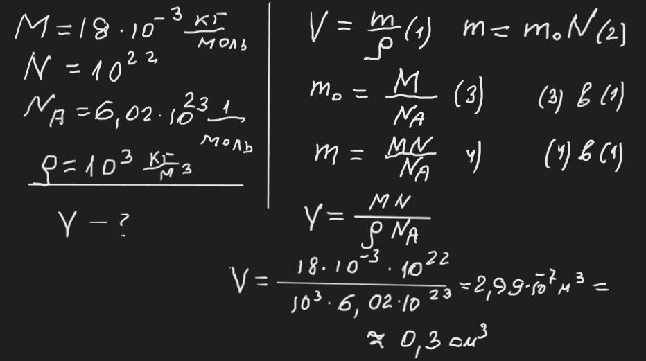
Який об'єм краплі води, якщо вона має в середині 10 в 22 степені молекул​

Ответы

Ответ дал: zybkov1950
2

Відповідь: ≈ 0,3 см³

Пояснення:

Приложения:

oleksiy62: спасіба
Вас заинтересует