• Предмет: Физика
  • Автор: oleksiy62
  • Вопрос задан 2 года назад

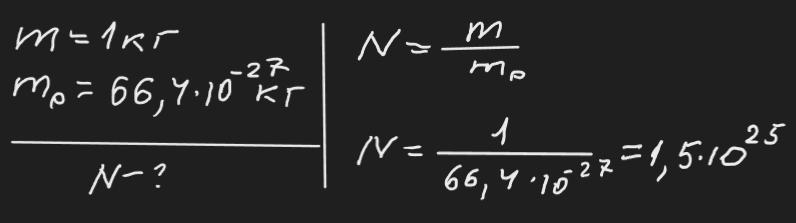
Скільки молекул в 1 кг кальцію, якщо маса однієї молекули кальцію рівна 66,4 на 10 в -27 кг.

Ответы

Ответ дал: zybkov1950
0

Відповідь:   1,5·10²⁵

Пояснення:

Приложения:
Вас заинтересует