• Предмет: Алгебра
  • Автор: yupsi
  • Вопрос задан 2 года назад

виконацте дії все на фото срочно!!!!​

Приложения:

Ответы

Ответ дал: manyny06
2

Ответ:

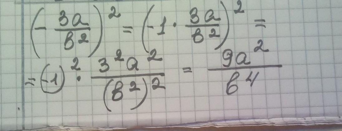
решение смотри на фотографии

Приложения:

yupsi: дякую!!!
Вас заинтересует