• Предмет: Математика
  • Автор: evakuzmenko54
  • Вопрос задан 2 года назад

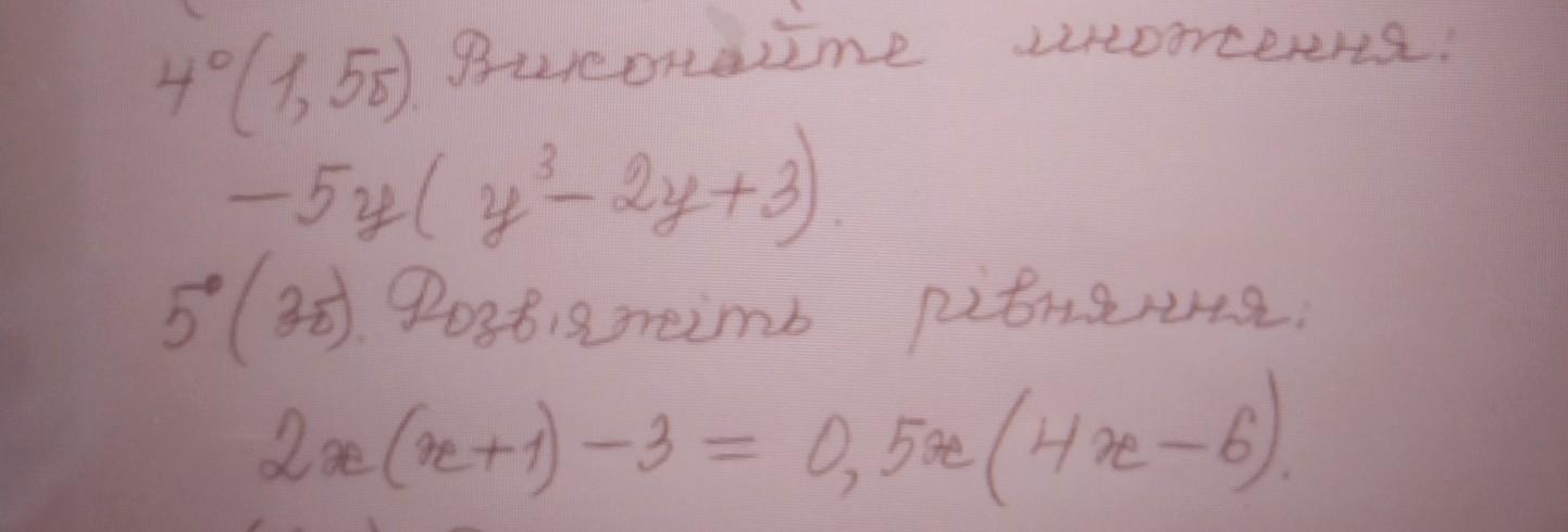
1)виконайте множення
2) розв'яжіть рівняння​

Приложения:

Ответы

Ответ дал: iramazurk
1

Пошаговое объяснение:

4

-5у(у³ - 2у + 3) = -5у⁴ + 10у² - 15у

5

2х(х + 1) - 3 = 0,5х(4х - 6)

2х² + 2х - 3 = 2х² - 3х

2х - 3 = -3х

2х + 3х = 3

5х = 3

х = 3 : 5

х = 0,6

Вас заинтересует