• Предмет: Математика
  • Автор: mchebanaya26
  • Вопрос задан 2 года назад

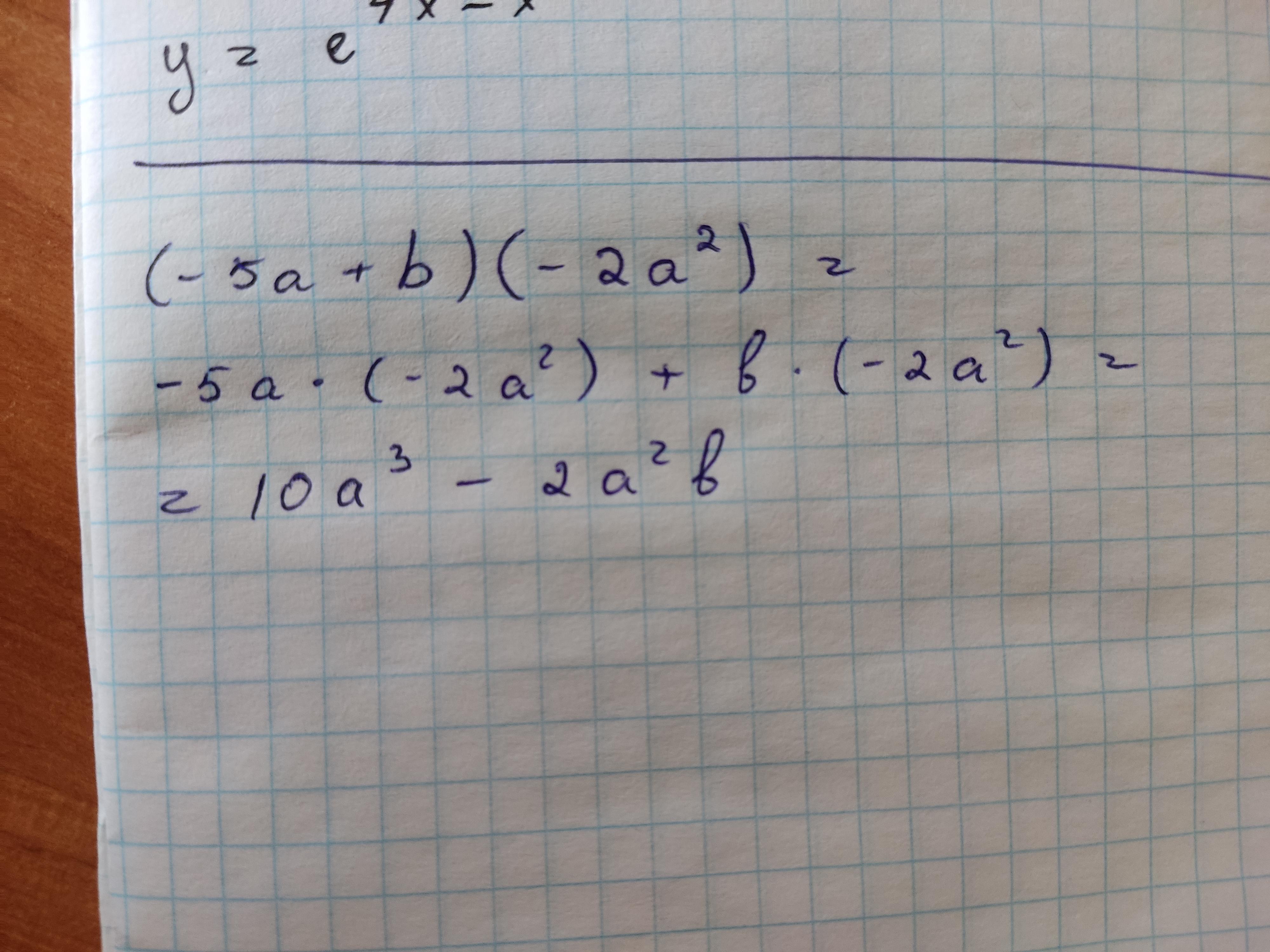
записати у вигляді многочлена (-5а+в)*(-2а^2)

Ответы

Ответ дал: abdullaevruslan0405
1

Ответ: ответ в изображении

Пошаговое объяснение:

Приложения:
Вас заинтересует