• Предмет: Физика
  • Автор: Olyakvit
  • Вопрос задан 2 года назад

100 БАЛЛІВ! ДОПОМОЖІТЬ БУДЬ ЛАСОЧКА
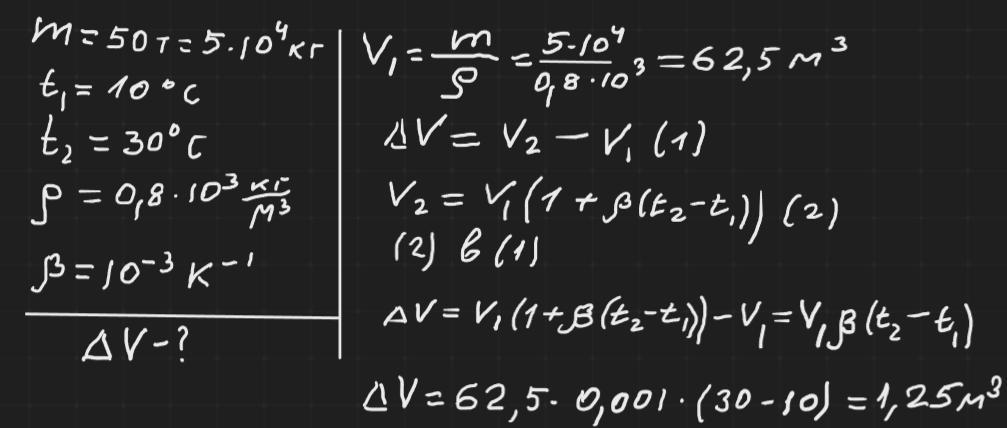
В залізничну цистерну налито 50т нафти при 10°С. На скільки зміниться об’єм нафти, коли температура підвищиться до 30°С? Густина нафти 0,8·10 ^3 кг/м ^3 , коефіцієнт об’ємного розширення 10 ^-3 К ^-1 .

Ответы

Ответ дал: zybkov1950
0

Відповідь: 1,25 м³

Пояснення:

Приложения:
Вас заинтересует