• Предмет: Алгебра
  • Автор: shhwuqhq
  • Вопрос задан 2 года назад

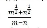
сократить дробь
ПОЖАЛУЙСТА ОЧЕНЬ СРОЧНО ​

Приложения:

Ответы

Ответ дал: manyny06
2

Ответ:

решение смотри на фотографии

Приложения:
Ответ дал: dmuratbek742
1

Ответ:

вооооотак какта из интернета нашол

Приложения:
Вас заинтересует