• Предмет: Алгебра
  • Автор: zzmsii
  • Вопрос задан 2 года назад

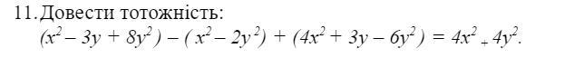
Допоможіть будь ласка срочно дуже треба!!!!!!!!!!!!!!!!!!!!!!!!!!

Приложения:

Ответы

Ответ дал: manyny06
0

Ответ:

решение смотри на фотографии

Приложения:

timurmirzametov4: Можете помочь Пожалуйста
yyypiton: помогите с геометрией 50 балов пожайлуста прошу очень срочно https://znanija.com/task/50775931 и https://znanija.com/task/50777377
Вас заинтересует