• Предмет: Алгебра
  • Автор: dasanikolajcuk199
  • Вопрос задан 2 года назад

СРОЧНО БУДУ ВДЯЧНА!!!!!!!!!

Приложения:

Ответы

Ответ дал: gomonukb
1

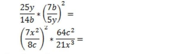
Відповідь: Правильна відповідь на фото

Пояснення:

Приложения:

gomonukb: Сподіваюсь допоміг вчасно
dasanikolajcuk199: ДЯКУЮ ДУЖЕ ВЧАСНО!!!!
gomonukb: постав 5 зірок будь ласка,якщо відповідь була корисною
dasanikolajcuk199: Поставила
gomonukb: дякую
Вас заинтересует