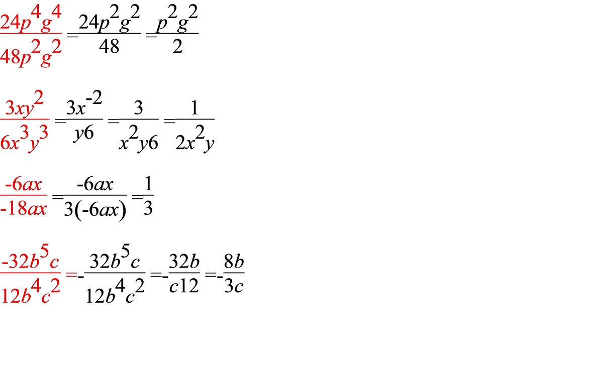
записать в виде дроби и сократить ее 1) 24p^(4)q^(4) : (48p^(2)q^(2) 2)3xy^(2) :(6x^(3)y^(3) 3) -6ax:(-18ax) 4) -32b^(5)c:(12b^(4)c^(2)
Ответы
Ответ дал:
0
1) 24p^(4)q^(4) : (48p^(2)q^(2)=p^(2):q^(2) ; 2)3xy^(2) :(6x^(3)y^(3)=2x^(2)y ; 3) -6ax:(-18ax)=3 ; 4) -32b^(5)c:(12b^(4)c^(2)= -16b: 6c
Ответ дал:
0
файл
==========================
Приложения:

Вас заинтересует
2 года назад
2 года назад
8 лет назад
8 лет назад
10 лет назад
10 лет назад
10 лет назад