• Предмет: Алгебра
  • Автор: Viscount
  • Вопрос задан 2 года назад

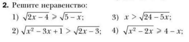
Решите иррациональные неравенства. Акт второй. Решите 1е и 3е неравенство.

Приложения:

Ответы

Ответ дал: holodvika2017
1

Ответ: на фото

Объяснение:

Приложения:
Вас заинтересует