Ответы
Ответ дал:
0
Ответ:1 3/4
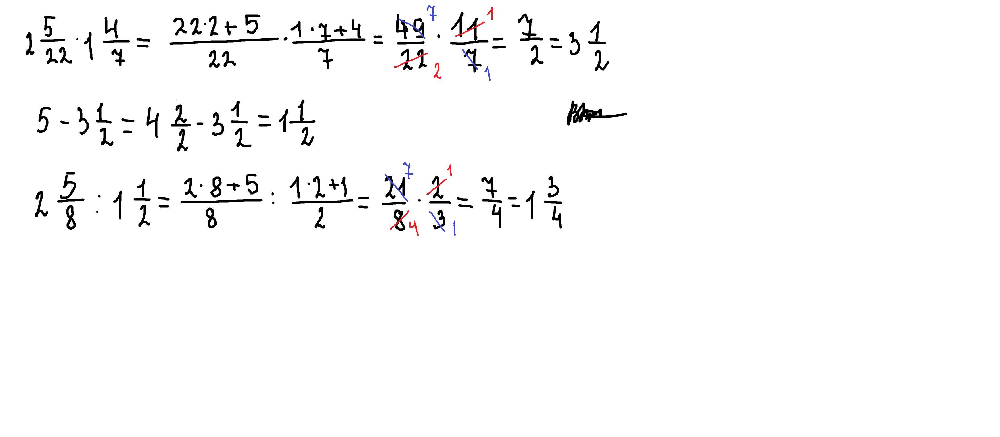
Пошаговое объяснение:1) 2 5/22 * 1 4/7= 49/22 *11/7= 7/2= 3 1/2
2)4 2/2 - 3 1/2= 1 1/2
3) 21/8 : 3/2= 21/8 *2/3=7/4= 1 3/4
Ответ дал:
1
Ответ:
1 3/4
Пошаговое объяснение:
решение по действиям внизу
Приложения:

Вас заинтересует
1 год назад
1 год назад
3 года назад
3 года назад
8 лет назад
8 лет назад