• Предмет: Алгебра
  • Автор: Аноним
  • Вопрос задан 2 года назад

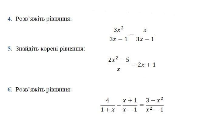
допоможіть будь ласка! даю 80 балів!

Приложения:

Ответы

Ответ дал: masha26261
1

Ответ это 3.

1.×=0

2.×=-5

3.×=4

Объяснение:

надеюсь помогла

Приложения:

Аноним: можно розписати діі?
masha26261: доброе
masha26261: это не всё( я не могу прекрепить
masha26261: сори
Вас заинтересует