• Предмет: Алгебра
  • Автор: yaroslava84
  • Вопрос задан 2 года назад

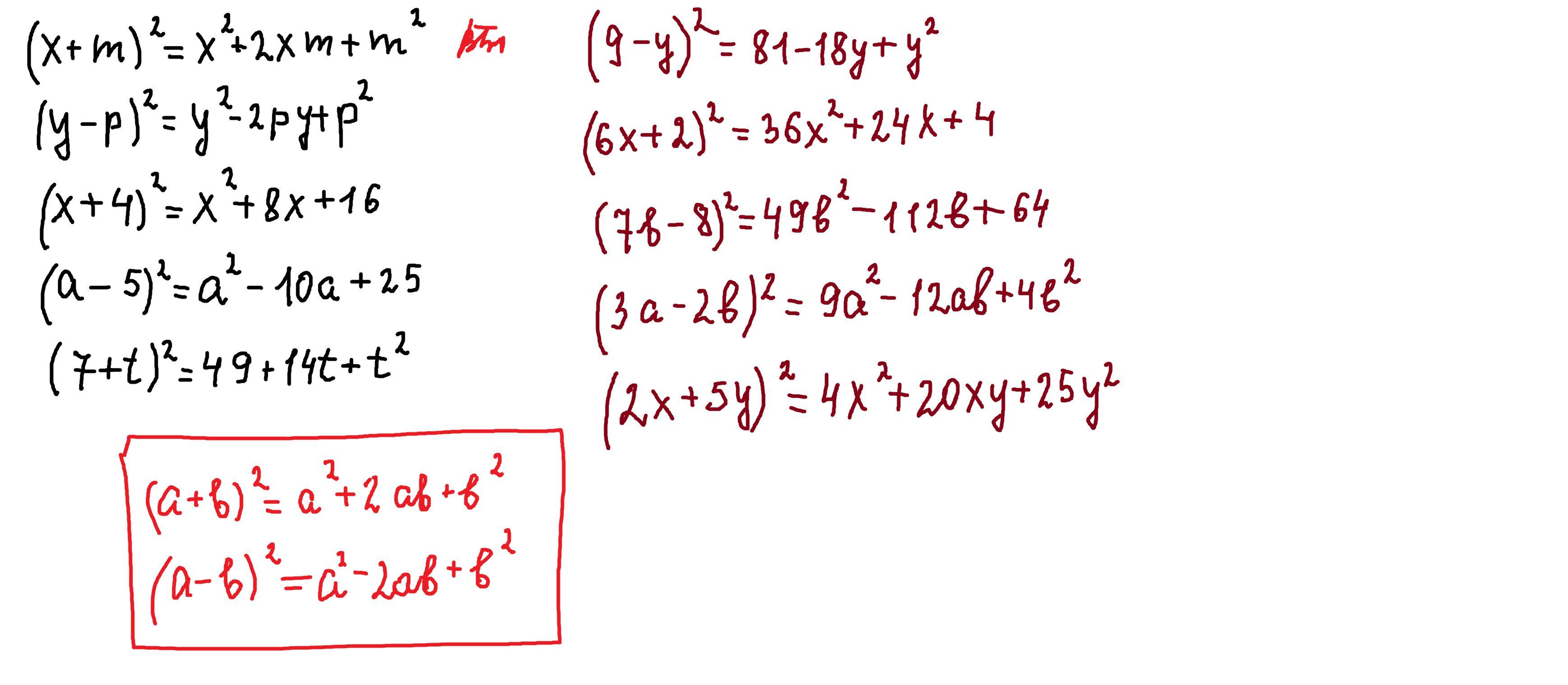
Подайте у вигляді многочлена​

Приложения:

Ответы

Ответ дал: illy40
1
формула квадрат різниці
Приложения:
Ответ дал: parus77
1

Ответ:

Объяснение:

решение и формулы внизу

Приложения:
Вас заинтересует