Ответы
Ответ дал:
0
Если понравилось решение - нажимай "спасибо" и "лучший" (рядом с кнопкой "спасибо") :)
во втором какой-то ответ дурной ((((((((((((
во втором какой-то ответ дурной ((((((((((((
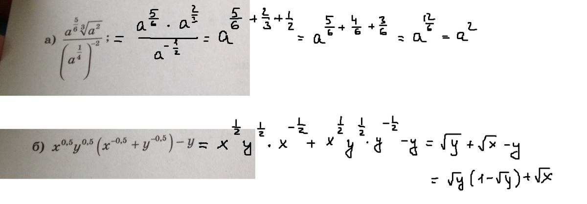
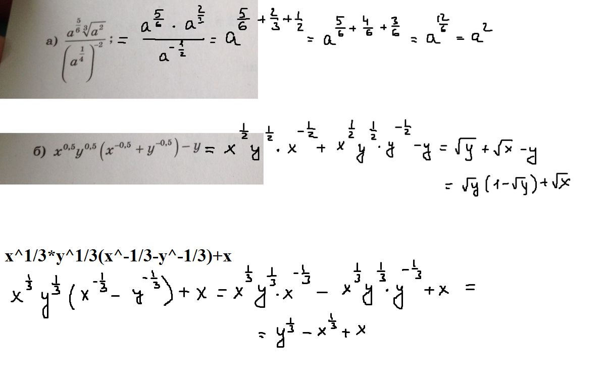
Приложения:


Ответ дал:
0
это про 3 самостоятельных
Ответ дал:
0
я поняла, + она дала самостоятельную по геометрии также с сегодня на завтра. мстит за то,что мы отдыхали на выходных,а она нет
Ответ дал:
0
((((((((((((((((((((((((((((((((((((((((((((((((((
Ответ дал:
0
не можешь помочь? http://znanija.com/task/5080629
Ответ дал:
0
попробую
Вас заинтересует
2 года назад
2 года назад
8 лет назад
8 лет назад
10 лет назад