• Предмет: Алгебра
  • Автор: rosabeauty80
  • Вопрос задан 2 года назад

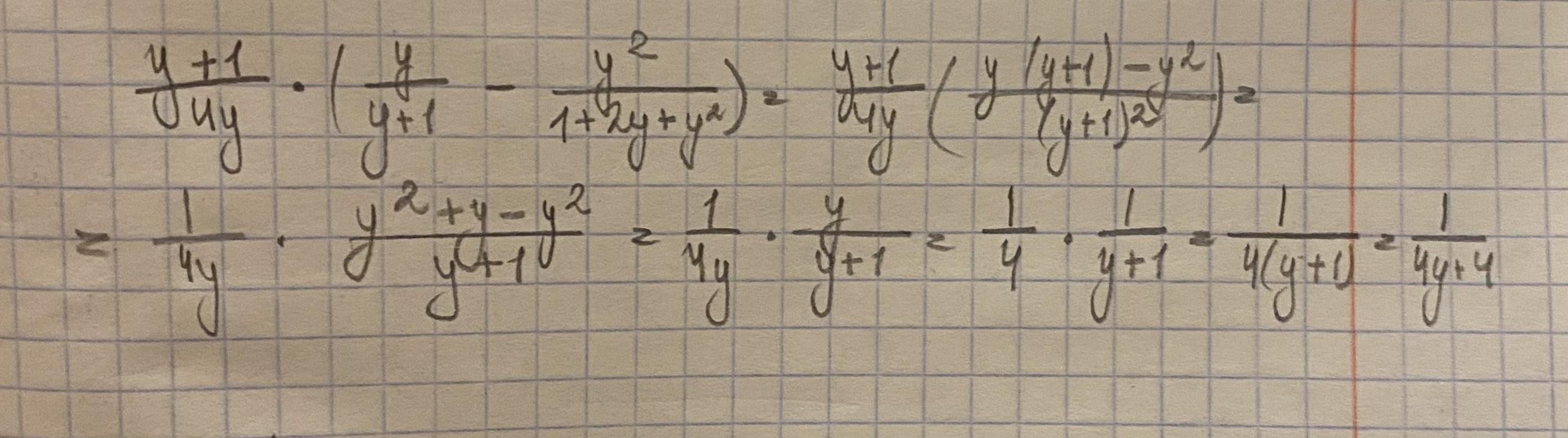
Алгебра 8 клас. 25 балів . Спростіть вираз. Завдання на фото

Приложения:

Ответы

Ответ дал: aarr04594
1

Відповідь:

Пояснення:

розв'язання завдання додаю

Приложения:

rosabeauty80: Сейчас я добавлю варианты ответов, нужно выбрать правильный
rosabeauty80: У/ у+1; 1/ (у+1)²; 1/4(у+1); 1/4(у+1)²
Sofika2006: 1/4(y+1)
Ответ дал: Sofika2006
1

Ответ: 1/4y+4

Объяснение:

Приложения:
Вас заинтересует