• Предмет: Математика
  • Автор: pilipenkom988
  • Вопрос задан 2 года назад

помогите решить уравнение​

Приложения:

Ответы

Ответ дал: darhanermekbaev
1

Ответ:

x = \frac{19}{74}

Пошаговое объяснение:

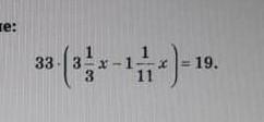
33 * (3\frac{1}{3}x - 1\frac{1}{11}x) = 19\\\\33 * (\frac{10}{3}x - \frac{12}{11}x) = 19\\\\33 * (\frac{110}{33}x - \frac{36}{33}x) = 19\\\\33 * \frac{74}{33}x = 19\\\\\frac{74}{33}x = \frac{19}{33}\\\\ x = \frac{19}{33} : \frac{74}{33} \\\\x = \frac{19}{33} * \frac{33}{74} = \frac{19}{74}

Ответ дал: iramazurk
0

Пошаговое объяснение:

33 * (3 1/3х - 1 1/11х) = 19

3 1/3х - 1 1/11х = 19 : 33

3 11/33х - 1 3/33х = 19/33

2 8/33х = 19/33

х = 19/33 : 2 8/33

х = 19/33 : 74/33

х = 19/33 * 33/74

х = 19/74

Вас заинтересует