• Предмет: Алгебра
  • Автор: aidanassay
  • Вопрос задан 2 года назад

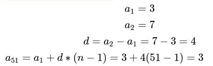
a₁ =3 a₂ = 7


d = ? a51-?

Ответы

Ответ дал: savinykhanastasya
0

мне кажется все верно извините если неправильно(

Приложения:
Вас заинтересует