• Предмет: Математика
  • Автор: spgaspsp
  • Вопрос задан 2 года назад

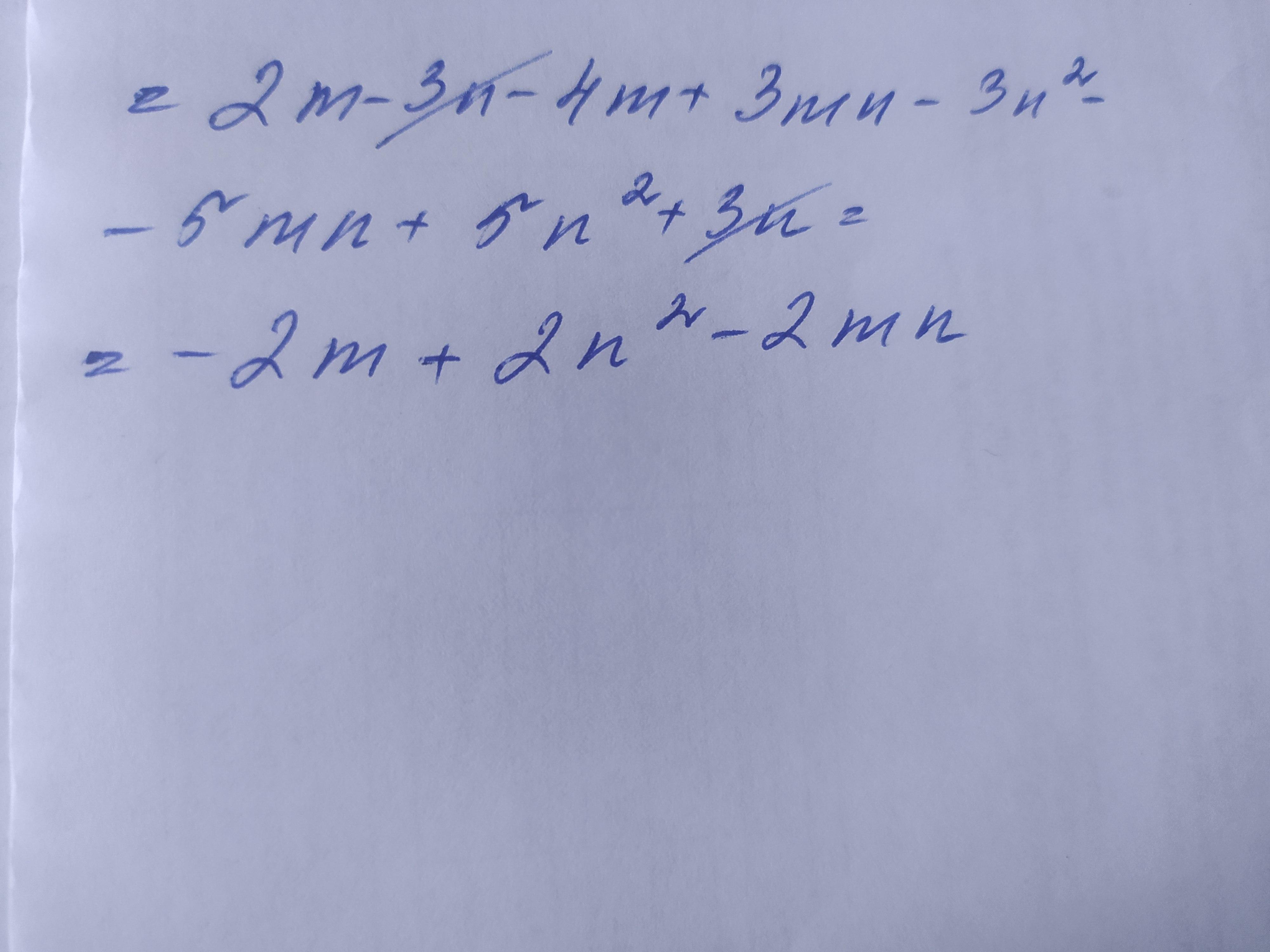
4) (2m-3n) - (4m - 3mn + 3n²) - (5mn - 5n² - 3n)​

Ответы

Ответ дал: tatsach
1

Ответ:

Пошаговое объяснение:

Приложения:
Вас заинтересует