Ответы
Ответ дал:
0
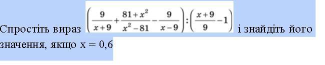
Ответ:
15
Объяснение:
спочатку зводимо до спільного знаменника вираз в перших дужках, потім у других.
Приложения:

Вас заинтересует
1 год назад
1 год назад
1 год назад
3 года назад
3 года назад
8 лет назад
8 лет назад