• Предмет: Алгебра
  • Автор: fhgdhjjhgd
  • Вопрос задан 2 года назад

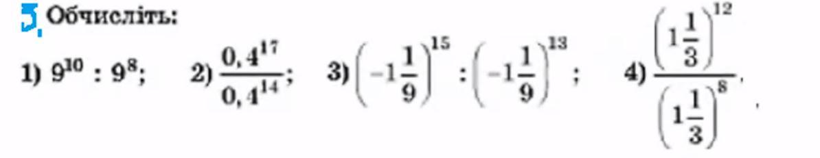
Все на фотке смотрите

Приложения:

Ответы

Ответ дал: annamandrik2020
1

Ответ:

1) 9¹⁰: 9⁸ = 9²

2) 0.4¹⁷.

0.4¹⁴ = 0.4³

3) (-1⅑)¹⁵: (-1⅑)¹³ = (-1⅑)²

4) (1⅓)¹²

(1⅓)⁸ = (1⅓)⁴

Объяснение:

надеюсь помогла

Вас заинтересует