• Предмет: Математика
  • Автор: nevalihinanatasa
  • Вопрос задан 2 года назад

пж срочно пж срочно пж срочно ​

Приложения:

Ответы

Ответ дал: svetlanavaslarionova
0

Ответ:

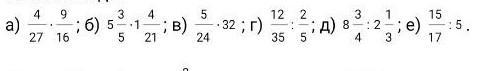
А) 4/27•9/16=4•9/27•16=1/12

б)5 3/5•1 4/21=28/5•25/21=28•25/5•21=8•5/1•7=40/7=5 5/7

в)5/24•32=5•32/24=5•4/3=20/3=6 2/3

г)12/35:2/5=12/35•5/2=12•5/35•2=6/7

д)8 3/4:2 1/3=35/4:7/3=35•3/4•7=15/4=3 3/4

е)15/7:5=15/17•5=3/17

Ответ дал: FGdhdGHKJ188
0

Ответ:   а)  1/12   б) 20/3  в) 20/3   г) 6/7  д) 3,75   е) 3/17

Вас заинтересует