• Предмет: Математика
  • Автор: urodebanyj977
  • Вопрос задан 2 года назад

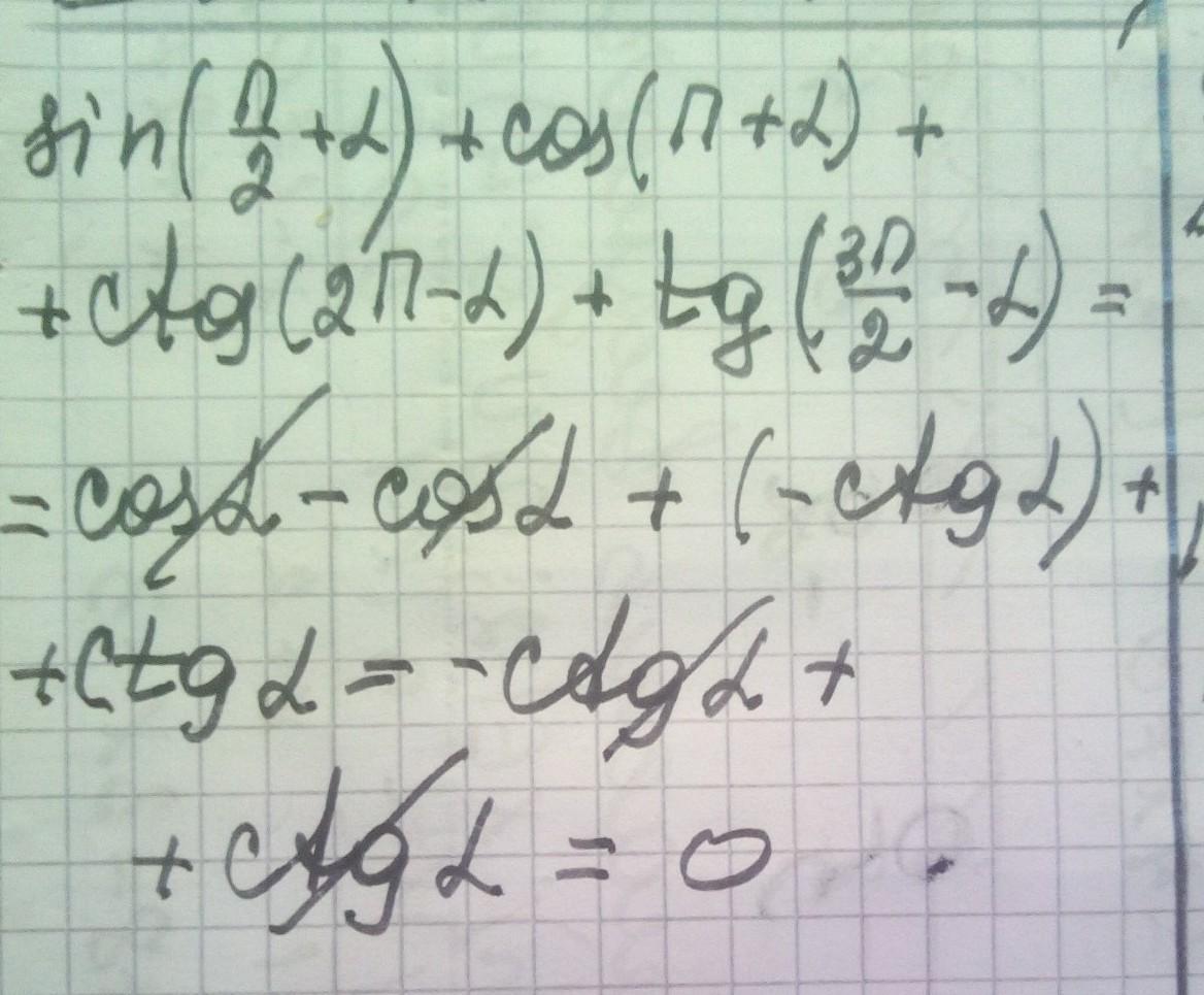
9). Спростити вираз: sin ( п/2 + a) + cos ( п + a) + ctg ( 2п - a) + tg ( 3п/2 · a)=​

Ответы

Ответ дал: manyny06
1

Ответ:

решение смотри на фотографии

Приложения:
Вас заинтересует