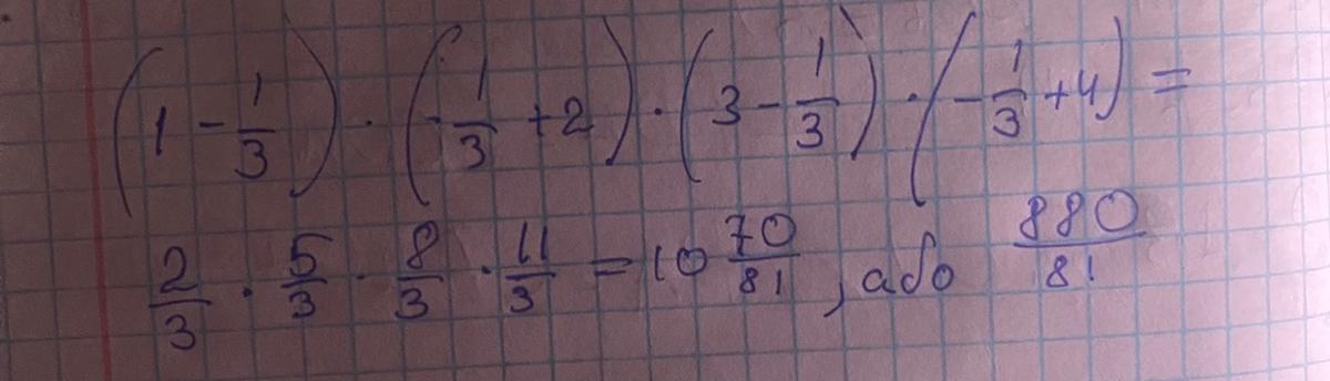
даю 100 балов (1+x)(x+2)(3+x)(x+4) якщо х = -1/3
strandrey58:
Я тут напишу
Ответы
Ответ дал:
1
Віподвідь
:
Чому: ……………..
:
Чому: ……………..
Приложения:

Вас заинтересует
1 год назад
1 год назад
1 год назад