• Предмет: Алгебра
  • Автор: sofaa345
  • Вопрос задан 10 лет назад

помогите решить

 

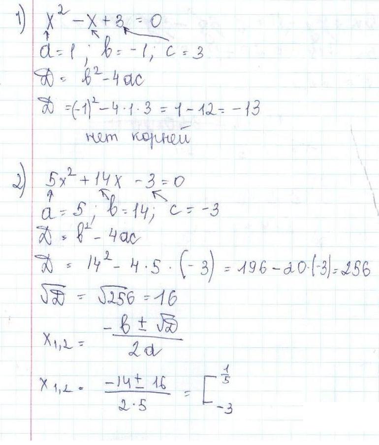
1) х в квадрате -х+3=0

2) 5х в квадрате+14х-3=0

Ответы

Ответ дал: Mitsaki
0
1) х квадрат - х +3 =0
х(х-1)=-3
х1=-3
х2=-2

2)5х квадрат+14х-3=0
D=256
х1=0,2
х2=-3
Ответ дал: bradobrey
0
Вот я прикрепил ниже  решение:

Приложения:
Ответ дал: bradobrey
0
лучшим потом сделай плисс ))))
Ответ дал: bradobrey
0
спасибочки ))
Вас заинтересует