• Предмет: Алгебра
  • Автор: 099G
  • Вопрос задан 2 года назад

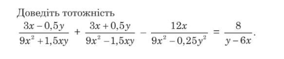
70 БАЛІВ!!!!!!!!!!!!!!!!!!!!!!!!! ДОПОМОЖІТЬ!!!!!!!

Приложения:

Ответы

Ответ дал: eredka55
0

Відповідь:

14xy

Пояснення:

Вас заинтересует