• Предмет: Алгебра
  • Автор: Аноним
  • Вопрос задан 2 года назад

Помогите решить Алгебру. Даю 30 баллов

Приложения:

Ответы

Ответ дал: d1vanpokrashen
1

Ответ:

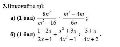
a)  \frac{4nm}{3m+12 }

б)  \frac{6x-1}{4x^{2} -1}

Объяснение:

а) по формуле:  a^{2} - b^{2} = (a-b)(a+b)

\frac{8n^{2} }{m^{2}-16 } * \frac{m^{2} - 4m }{6n} = \frac{8n^{2} }{(m-4)(m+4) } * \frac{m(m - 4)}{6n} = \frac{8n^{2}}{m+4 } * \frac{m}{6n} = \frac{4n}{m+4 } * \frac{m}{3} =\frac{4nm}{3m+12 }

б) по формулам: a^{2} - b^{2} = (a-b)(a+b);   (a - b)^{2} = (a^{2} -2ab+b^{2} )

\frac{1-2x}{2x+1} + \frac{x^{2} + 3x}{4x^{2} -1} / \frac{3+x}{4x+2} = \frac{1-2x}{2x+1} + \frac{x(x+3)}{(2x -1)(2x+1)} * \frac{2(2x+1)}{x+3} = \frac{1-2x}{2x+1} + \frac{x}{2x -1} * \frac{2}{1}=\frac{1-2x}{2x+1} + \frac{2x}{2x-1} = \frac{(1-2x)(2x-1)}{(2x+1)(2x-1)} + \frac{2x(2x+1)}{(2x-1)(2x+1)} = \frac{(1-2x)(2x-1)+2x(2x+1)}{(2x+1)(2x-1)} =  \frac{(-(2x-1))(2x-1)+4x^{2} +2x}{4x^{2} -1}=\frac{-(2x-1)^{2}+4x^{2} +2x}{4x^{2} -1}=\frac{-(4x^{2}-4x+1 )+4x^{2} +2x}{4x^{2} -1}

=\frac{-4x^{2}+4x-1+4x^{2} +2x}{4x^{2} -1}=\frac{6x-1}{4x^{2} -1}


Аноним: Спасибо!
Вас заинтересует