• Предмет: Математика
  • Автор: andriygl2000
  • Вопрос задан 2 года назад

СРОЧНО ДАЮ 80 БАЛІВ!!!!!
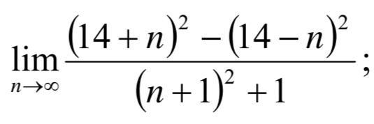
Знайти границі послідовності

Приложения:

Ответы

Ответ дал: tishchenko250909
0

Ответ:

196+n²-196+n²/n²+1+1

196+n²-196+n² взаэмо знищуються залишається n²+2

Вас заинтересует