Диагонали прямоугольника MNKL пересекаются в точке O . Найди площадь треугольника OKL , если MK=24 , а ∠KOL=30° .
Ответы
Ответ дал:
0
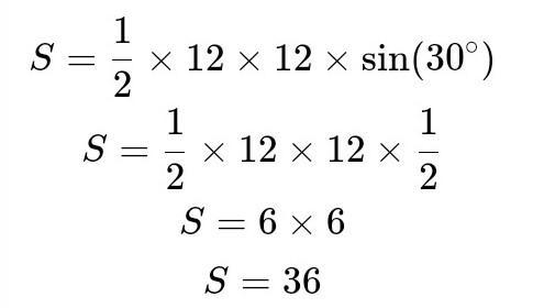
∆ОКL - треугольник образованный из двух полудиагоналей, OK И OL, и одной стороны KL прямоугольника.
Формула площади треугольника:
S = ab sin(7), где а, b стороны треугольника и Ө - угол между этими сторонами.
Нам дана длина диагонали (у прямоугольника длины диагоналей равны) МК=24.
Диагонали прямоугольника пересекаются в центре, тогда OK=OL=24/2=12.
Угол <KOL - это и есть угол между диагоналями.
Пошаговое объяснение:
Площадь треугольника ∆ОKL=36
Приложения:

Вас заинтересует
1 год назад
1 год назад
1 год назад
3 года назад
3 года назад