• Предмет: Физика
  • Автор: danasevcova0506
  • Вопрос задан 2 года назад

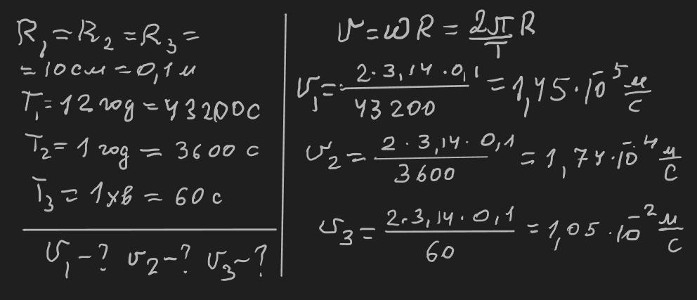
з якою швидкістю рухаються кінці годинної, хвилинної й секундної стрілок настінного годинника​

Ответы

Ответ дал: rtmkpka
1

Ответ:≈14,5 мкм/с       ≈0,174 мм/с    ≈1,05 см/с

Объяснение:

Приложения:
Вас заинтересует