• Предмет: Алгебра
  • Автор: nexize
  • Вопрос задан 2 года назад

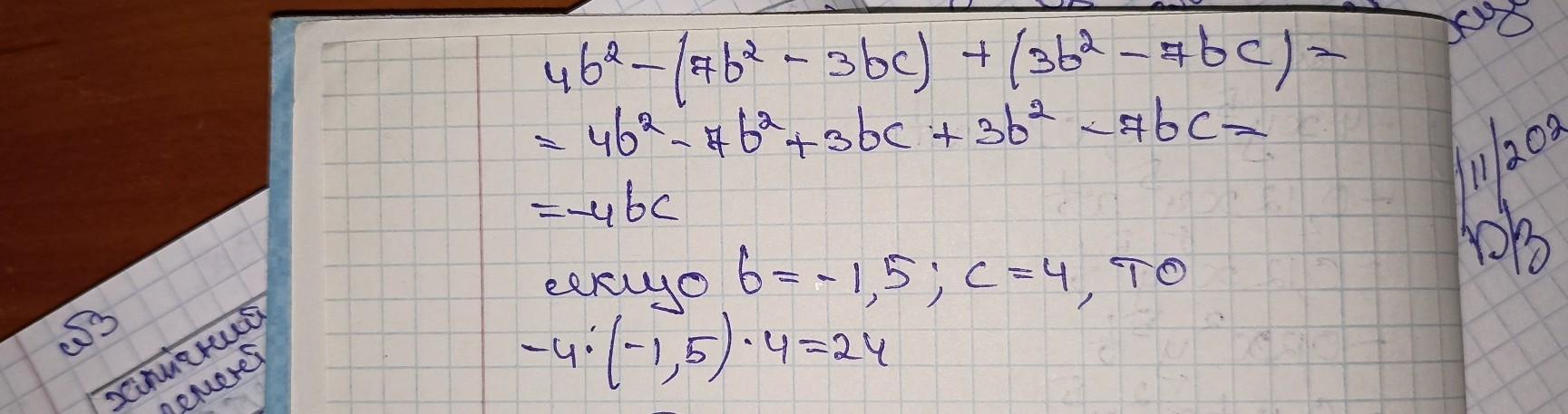
Помогите умоляю ребята

Приложения:

Ответы

Ответ дал: natashatomashuk1981
1

Ответ:

смотрите решение

Объяснение:

Приложения:
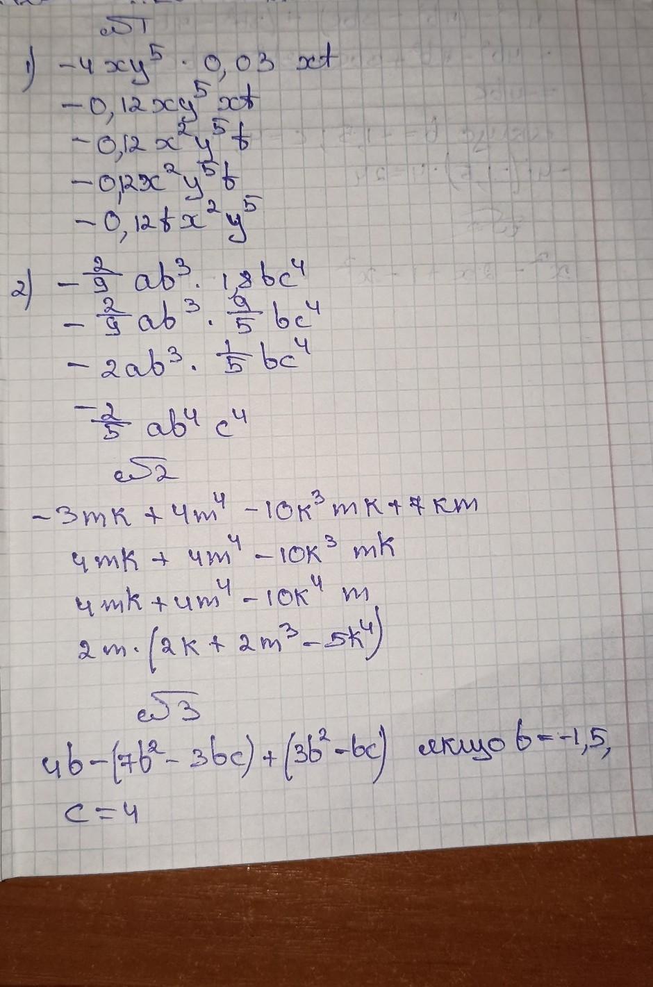
Ответ дал: kimsok342
1

Ответ:

Сорі 4 завдання не знаю як зробити

Приложения:
Вас заинтересует