• Предмет: Алгебра
  • Автор: Аноним
  • Вопрос задан 2 года назад

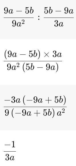
напишите решение .....​

Приложения:

Ответы

Ответ дал: artemdudof
0

Ответ:

-1/3а вибач розписати не можу

Ответ дал: yninamariya64
1

Ответ:

надеюсь помогла :)............

Приложения:
Вас заинтересует